ÔÚï®Àë×Óµç³Øµç¼«ÖÆÔ칤ÒÕÖУ¬¼·Ñ¹Í¿²¼ÊÇÏÖÔÚÖ÷Á÷µÄµç¼«Í¿·ó¹¤ÒÕ¡£Ó붺ºÅ¹Îµ¶»ò¹õÍ¿Ïà±È£¬ÕâÖÖÔ¤¼ÆÁ¿Í¿²¼ÒªÁìµÄÓŵãÊǼÆÁ¿×¼È·¡¢¹¤ÒÕ²ÎÊýÒ×ÓÚ¿ØÖƼ°Æä¹Ø±Õʽϵͳ¿ÉÒÔïÔÌÇéÐζԽ¬ÁϵÄÓ°Ïì¡£
ÔÚ¼·Ñ¹Í¿²¼ÏµÍ³ÖУ¬Í¿²¼Ä£Í·ÊÇ×îÖ÷ÒªµÄÒ»¸ö×é³É²¿·Ö¡£Èçͼ1Ëùʾ£¬Í¿²¼Ä£Í·Ò»Ñùƽ³£°üÀ¨ÉÏÄ£ºÍÏÂÄ££¬ÉÏÄ£ºÍ/»òÏÂÄ£Öмӹ¤³öÒ»¶¨¼¸ºÎÐÎ×´µÄÇ»ÊÒ£¬ÉÏÄ£¡¢ÏÂÄ£ºÍµæÆ¬×é×°ÔÚÒ»ÆðÐγÉÍ¿²¼ÏÁ·ì¡£½¬ÁÏ´Ó½øÁϿڱÃÈëģͷÄÚ²¿Ç»ÊÒÖУ¬È»ºó´ÓÍ¿²¼ÏÁ·ìÖÐÁ÷³ö£¬ÔÚģͷ´½¿ÚÐγÉËÙÂÊ¡¢Á÷Á¿ºÍѹÁ¦ÂþÑÜÔȳƵÄÁ÷Ì壬ÔÙ×ªÒÆµ½²²ÄÉÏ¡£

ͼ1 ¼·Ñ¹Í¿²¼¼°Ä£Í·Ê¾Òâͼ
ÒªÖÆÔìÔȳÆÎȹ̵ĵ缫Ϳ²ã£¬Í¿²¼Àú³ÌÖбØÐèÖª×ãÒÔÏÂÌõ¼þ£º
£¨1£©½¬ÁÏÐÔ×ÓÎȹ̣¬²»±¬·¢³Á½µ£¬Õ³¶È¡¢¹Ìº¬Á¿µÈ²»±¬·¢×ª±ä£»
£¨2£©½¬ÁÏÉÏÁϹ©Ó¦Îȹ̣¬ÔÚģͷÄÚ²¿ÐγÉÔȳÆÎȹ̵ÄÁ÷¶¯×´Ì¬£»
£¨3£©Í¿²¼¹¤ÒÕÔÚÍ¿²¼´°¿Ú¹æÄ£ÄÚ£¬ÔÚģͷÓëÍ¿¹õÖ®¼äÐγÉÎȹ̵ÄÁ÷³¡£»
£¨4£©×ß²Îȹ̣¬²»±¬·¢×ß´ø»¬¶¯¡¢ÑÏÖØ²ü¶¶ºÍñÞÖ壺ÐèÒªÓкõÄÕÅÁ¦¡¢¾ÀÆ«¿ØÖÆ¡£
ÆäÖУ¬¼·Ñ¹Ä£Í·µÄÉè¼Æ¶ÔÍ¿²¼¾«¶ÈÓм«ÆäÖ÷ÒªµÄÓ°Ï죬Éè¼ÆÊ±»¹ÐèҪ˼Á¿Í¿²¼½¬ÁÏÁ÷±äÌØÕ÷£¬°´ËùÌṩµÄÁ÷±äÊý¾ÝÉè¼Æ¼Ó¹¤¼·Ñ¹Ä£Í·£¬¼·Ñ¹Ä£Í·ÄÚ²¿ÐÍÇ»µÄ¼¸ºÎ½á¹¹Ö±½ÓÓ°ÏìÐÍÇ»µÄÁ÷³¡ÐÎ̬£¬ÓÅ»¯½á¹¹²ÎÊýÄÜÓÐÓÃÌáºá¿ç¿ÚËÙÂÊÂþÑܵÄÔȳÆÐÔ¡£ÏÖÔÚ£¬º£ÄÚ½öÓÐ×ðÁú¿Ê±µÈ¹«Ë¾¾ßÓÐ×ÔÖ÷Ñз¢Éè¼ÆÍ¿²¼Ä£Í·µÄÄÜÁ¦£¬ÆäÉè¼ÆÓÅ»¯°üÀ¨£º
£¨1£©Í¿²¼Ä£Í·ÄÚ²¿Á÷µÀÉè¼Æ£¬ºÃ±ÈÌݶÈʽ¡¢Ò¼Üʽ¡¢µ¥Ç»Ê½ºÍ˫ǻʽµÈÁϲ۽ṹ¡£Ä¿µÄ¾ÍÊÇά³ÖͿҺÔÚÄ£¾ßÄÚµÄÁ÷¶¯ËÙÂÊ£¬²»±¬·¢¾²Ö¹ÇøÓò»ò³Á½µµÈÎÊÌ⣬´Ó¶øÈ·±£Ä£Í·ÏÁ·ì³ö¿ÚËÙÂÊÔȳưü¹ÜÍ¿²ãµÄÔȳÆÐÔ¡£
£¨2£©½øÁÏλÖÃÓÅ»¯Éè¼Æ£¬ºÃ±Èģͷϲ¿½øÁÏ£¬Ä£Í·²àÃæ½øÁϵȣ¬¸Ä±äÁ÷ÌåÁ÷¶¯×´Ì¬È·±£Ä£Í·ÏÁ·ì³ö¿ÚËÙÂÊÔȳơ£
£¨3£©µæÆ¬½á¹¹µÄÓÅ»¯Éè¼Æ¡£
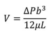
ËäÈ»ÓÅ»¯Éè¼ÆÄ£Í·ÄÚ²¿µÄÐÍÇ»¿ÉÒÔ½«½¬ÁÏÁ÷ÌåÔȳƵØÂþÑÜÔÚģͷÏÁ·ì£¬¿ÉÊÇÏÁ·ìƽ̨µÄÍâòÖÊÁ¿ºÍÉÏ¡¢ÏÂĤ֮¼äÏÁ·ì¼ä϶×îÖÕ¿ØÖÆÁ÷ÌåÁ÷³öÏÁ·ìģͷʱµÄÁ÷¶¯×´Ì¬¡£ÔȳÆÁ÷¶¯µÄÒªº¦Êdzö¿Ú´¦µÄѹÁ¦¡¢ËÙÂʺÍÌå»ýÁ÷Á¿µÄÂþÑܺÍÎȹ̡£Ìå»ýÁ÷Á¿VµÄ¿ØÖÆ·½³ÌÈçÏÂËùʾ£º

ÆäÖУ¬¦¤PΪͨ¹ýÏÁ·ìģͷµÄѹ½µ£»b ΪģͷÉÏÏÂÄ£Ö®¼äÏÁ·ì¼ä϶£»¦ÌΪ½¬ÁϵÄÕ³¶È£»LΪÏÁ·ìÁ÷¶¯Æ«ÏòµÄ³¤¶È£¬Èçͼ2Ëùʾ¡£

ͼ2 ģͷÏÁ·ìÁ÷Á¿·½³Ì²ÎÊý
ÓÉÒÔÉϹ«Ê½¿ÉÖª£¬Ä£Í·ÉÏÏÂÄ£Ö®¼äµÄÏÁ·ì¼ä϶bÊÇģͷ³ö¿Ú½¬ÁÏÌå»ýÁ÷Á¿µÄÈý´Î·½±äÁ¿£¬µ±Õâ¸ö±äÁ¿ÉÔ΢±¬·¢×ª±äʱ£¬¿ÉÄܾͻá¶ÔÍ¿²¼Ð§¹û±¬·¢ºÜ´óµÄÓ°Ïì¡£Òò´Ë£¬Í¿²¼Ä£Í·µÄÏÁ·ì¼ä϶ÓÖÊÇÕû¸öģͷµÄÒªº¦£¬Í¿²¼Ê±½¬ÁÏÒ»Ö±Á÷¾´½¿Ú£¬´ÓÏÁ·ìÅç³ö£¬´½¿ÚµÄÐÔÄÜÖ¸±ê»áÖ±½ÓÓ°ÏìÍ¿²¼Ð§¹û¡£Æ¾Ö¤ï®Àë×Óµç³ØÍ¿²¼µÄÌØµã£¬¼·Ñ¹Ä£Í·ÏÁ·ì´½¿ÚÓ¦¸ÃÖª×ãÒÔÏÂÒªÇó£º
£¨1£©´½¿Ú³ß´ç¾«¶ÈÒªÇó¸ß¡£ï®Àë×Óµç³ØÍ¿²¼Ò»Ñùƽ³£½¬ÁÏʪºñ100-300 ¦Ìm£¬¾«¶ÈÒªÇó<1%£¬Òò´Ë£¬¶ÔÈпڵijߴçÒªÇóÒ²ºÜ¸ß£¬ºÃ±È´½¿ÚÒªÇó¼âÈñ£¬µÖ´ï΢Ã×¼¶¾«¶È£»ÈпÚÖ±Ï߶ȸߣ¨Ð¡ÓÚ2¦Ìm/m£©¡£
£¨2£©ÏÁ·ìƽ̨Íâò¹â½à£¬´Ö²Ú¶ÈС£¨Rz 0.02¦ÌmÒÔÏ£©¡£½¬ÁÏÊÇ»îÎïÖÊ¿ÅÁ£Ðü¸¡Òº£¬Á÷¾ÏÁ·ìÈ»ºó´Ó´½¿ÚÅç³ö£¬ÈôÊǹÌÌåÔÚij´¦ÕϰȺ¼¯£¬»áÔì³ÉÍ¿²¼ºñ¶È²»Ôȳƣ¬ÐγÉÊúÖ±ÌõµÀµÈȱÏÝ¡£Õâ¾ÍÒªÇóÅç¿ÚÃæÍâò¹â½à£¬´Ö²Ú¶ÈС£¬²»Ôì³É¹ÌÌå¿ÅÁ£¹£Èû¡£
£¨3£©´½¿ÚÖÊÁÏÓ²¶È¸ß£¬ÄÍÄ¥Ëð£¬Ê¹ÓÃÊÙÃü³¤¡£Õý¸º¼«½¬ÁÏÊÇÓɹÌÌå¿ÅÁ£×é³ÉµÄÐü¸¡Òº£¬ÔÚÍ¿²¼Àú³ÌÖн¬ÁÏÔÚѹÁ¦×÷ÓÃÏÂÒ»Ö±´ÓÏÁ·ì´½¿ÚÅç³ö£¬¹ÌÌå¿ÅÁ£»á¶ÔÏÁ·ìÍâòÐγÉÄ¥Á£Ä¥Ëð£¬Õâ¾ÍÒªÇ󴽿ÚÖÊÁÏÓ²¶È¸ß£¬ÄÍÄ¥£¬Äܹ»ºã¾ÃʹÓá£
£¨4£©ÄÍÇÖÊ´¡£ï®Àë×Óµç³Ø½¬ÁÏÄÚÀïÍùÍù°üÀ¨ÓлúÈܼÁ£¬¾ÛºÏÎïÕ³½á¼ÁµÈ×é·Ö£¬Õý¼«½¬ÁÏÍùÍù»¹³ÉÈõ¼îÐÔ£¬Òò´Ë£¬ÒªÇ󴽿ÚÄÍÇÖÊ´¡£
£¨5£©´½¿Ú·æÈñ£¬ÒªÇó¾ß±¸Ò»¶¨ÈÍÐÔ£¬²»»á±¬·¢¶ÏÁÑ£¬ÒªÇóÖÊÁÏ¿¹Ñ¹Ç¿¶ÈºÍÍäÇúÇ¿¶È¸ß£¬²»»á±¬·¢ÍäÇú±äÐΡ£
˼Á¿µ½ÏêϸµÄʹÓÃÇéÐκͱ¾Ç®ÒòËØ£¬ÎÒÃÇÓ¦¸Ãƾ֤ÐèÒªºÏÀíÑ¡Ôñ¼·Ñ¹Ä£Í·µÄ²ÄÖÊ£¬Í¨³£Ä£Í·²ÄÖÊÑ¡Ôñ¼Æ»®°üÀ¨Ä£Í·Ö÷ÌåÑ¡Ôñ²»Ðâ¸Ö£¬Òªº¦µÄ´½¿Ú²¿·ÖÑ¡ÔñÓ²ÖʺϽð¡¢îѺϽð»òÕßÄÍÇÖÊ´ºÏ½ðµÈ£»»òÕßģͷÖ÷ÌåºÍÒªº¦µÄ´½¿Ú²¿·Ö¶¼Ñ¡ÔñÓ²ÖʺϽð¡¢îѺϽð»òÕßÄÍÇÖÊ´ºÏ½ðµÈ£»»òÕßģͷ½ÓÄÉµç¶ÆÄÍÄ¥¶Æ²ãµÈ¡£ÏÖÔÚ²»¹Ü½ÓÄÉÄÄÖÖ·½·¨µÄ½ðÊôģͷ¶¼ÓÐģͷ´½¿ÚÄ¥ËðÕ÷Ïó£¬Ò²ÑÏÖØÓ°ÏìÁËģͷµÄʹÓÃÊÙÃü¡£Òò´Ë£¬Í¿²¼×°±¸È¥½ðÊô»¯ÊƱسÉΪÉú³¤Ç÷ÊÆ¡£
2024Äê4ÔÂ26ÈÕ£¬×ðÁú¿Ê±ÒÔ¡°Ìմɸ³ÄÜ£¬ÖÇÄÜ»»Ð¡±ÎªÖ÷Ì⣬Ðû²¼ÁËÈ«×Ô¶¯Ë«²ãÌÕ´ÉÐÂÆ·Ä£Í·¡£ÕâÊǺ£ÄÚÊ×Ì××ÔÖ÷Ñз¢µÄÈ«ÌÕ´ÉÍ¿²¼Ä£Í·£¬ÕâÊÇÓÉÈ«ÌÕ´ÉÉÏ¡¢ÖС¢ÏÂÄ£¡¢µç¶¯Ö´Ðлú¹¹¡¢µæÆ¬¡¢µã½º·§¡¢¿ØÖÆÏµÍ³µÈ×é³ÉµÄÈ«Ìմɱջ·µ÷ÀíÍ¿²¼Ä£Í·£¬¸Ãģͷ¾ßÓиßÄÍÄ¥¡¢¸ßÓ²¶È¡¢ÄÍÇÖÊ´¡¢±äÐÎС¡¢¿¹¹¥»÷µÈÓŵ㣬ͨ¹ýÈ«ÌÕ´ÉÖÊÁÏʵÏÖÍ¿²¼¶ÎÈ¥½ðÊô»¯£¬Ê¹µÃ½¬ÁÏÔÚÍ¿²¼Àú³ÌÖУ¬Í¿²¼ÏÁ·ìµÄÏÁ·ì³ÉÐÍÃæµÄÄÍÄ¥ÐÔÄÜÒÔ¼°ÄÍÇÖÊ´ÐÔÄܾùÓнϴóµÄÌá¸ß£¬²¢ÇÒ×ÝÈ»ÓнÏÉÙµÄÌÕ´ÉÖÊÁÏÄ¥Ëð½øÈ뽬ÁÏ£¬Ò²²»»áÓ°Ïìµç³Ø¼«Æ¬µÄÐÔÄÜ£¬´Ó¶ø°ü¹ÜÁËÖÆÆ·µç³Ø¼«Æ¬µÄÆ·ÖÊ¡£


ͼ3 ×ðÁú¿Ê±È«Ìմɱջ·µ÷ÀíË«²ãÍ¿²¼Ä£Í·
×ðÁú¿Ê±ÔÚÐû²¼»áÉÏÅú×¢£¬ËûÃÇÔÚ¿ª·¢È«ÌÕ´ÉÈ«×Ô¶¯ÐÂÆ·Ä£Í·ÖоßÓÐ5´ó½¹µãÓÅÊÆ£º
£¨1£©Ç¿Ê¢µÄÌÕ´ÉÖÊÁÏÑз¢ÍŶӣ¬¾ßÓв©Ê¿¡¢Ë¶Ê¿¡¢±¾¿ÆÉúµÈ100ÃûÒÔÉÏרҵְԱ£¬ÉêÇëÁ˶àÏîרÀû¡£
£¨2£©×ÔÑÐÌÕ´ÉÖÊÁÏÅä·½£¬È«ÌÕ´ÉÒòËØºÍ½ººÏÀíÅä±È£¬½â¾öÁË´ó³ß´çÉúÅ÷¼Ó¹¤ºÍÉÕ½áµÄ¿ªÁÑÄÑÌ⣬²¢ÇÒµ¥ÖʽðÊôº¬Á¿Îª0£¬Ã»ÓÐÈÎºÎ¶Ôµç³ØÓк¦ÔªËØ¡£
£¨3£©×ÔÑÐÌմɼӹ¤¹¤ÒÕ£¬½ÓÄɹ²³Áµí·¨£¬ºÏ³ÉÄÉÃ×ÌÕ´É·ÛÌ壬ͨ¹ýɰĥ»úÑÐÄ¥£¬¿ØÖÆÌÕ´É·ÛÌåµÄÁ£¾¶£»½ÓÄÉÖÆ½¬¼Ó½º¹¤ÒÕ£¬ÅçÎíÔìÁ£¹¤ÒÕ£¬¸ßѹ³ÉÐ͹¤ÒÕ¡¢Ã«Å÷¼Ó¹¤¹¤ÒÕ¡¢ÉսṤÒÕ¡¢¾«¼Ó¹¤µÈ¹¤ÒÕ¡£
£¨4£©ÓµÓÐÐÐÒµÁìÏȵÄ4´óÌÕ´É¿ÆÑÐʵÑéÊÒ£¬ÖÊÁÏʵÑéÊÒ¡¢ÉÕ½áʵÑéÊÒ¡¢ÖÊÁϼӹ¤ÊµÑéÊÒ¡¢ÑÎÎíʵÑéÊÒ¡£Í¨¹ý¸÷ÏîʵÑé²âÊÔÑéÖ¤£¬°ü¹ÜÌÕ´ÉÖÊÁÏÓ²¶È¡¢Ãܶȡ¢ÈÍÐÔ¡¢ÄÍÄ¥¡¢Ä͸¯µÈÐÔÄÜ£¬ÓÅ»¯Á˳ÉÐÍ¡¢ÉÕ½áºÍ¼Ó¹¤¹¤ÒÕ£¬ÖÆ×÷³ö¾ßÓиßÖÂÃܸßÐÔÄܵÄÌÕ´Éģͷ¡£
£¨5£©ÍêÕûµÄÌÕ´ÉÉú²úÏߣ¬¾ßÓлìÁÏ-Ñ¹ÖÆ-Ï߸î-ÉÕ½á-»ú¼Ó¹¤-Ä¥Ï÷È«ÌײúÏß¡£Äܹ»ÊµÏÖÈ«ÌÕ´ÉģͷÅúÁ¿»¯Éú²ú¡£
ÏÖÔÚ£¬Ëæ×Åï®Àë×Óµç³ØÐÐÒµµÄ¿ìËÙÉú³¤£¬Í¿²¼Ä£Í·Ò²³¯×ÅË«²ãÍ¿²¼Ä£Í·¡¢ÖÇÄÜ»¯±Õ»·µ÷ÀíÍ¿²¼Ä£Í·µÈÆ«ÏòÉú³¤¡£È«ÌÕ´ÉÍ¿²¼Ä£Í·µÄÌá³ö´ú±íÁËÍ¿²¼Ä£Í·²ÄÖÊÑ¡ÔñµÄÒ»¸öÁ¢ÒìÆ«Ïò£¬µÃÒæÓÚÌÕ´ÉÖÊÁÏµÄÆæÒìÐÔÄÜ£¬È«ÌÕ´ÉÍ¿²¼Ä£Í·Ò»¶¨»á´øÀ´Ò»Ð©ÓÅÊÆºÍеÄÉú³¤Ç÷ÊÆ£º
£¨1£©¸ßÄÍÄ¥ÐÔ£ºÌÕ´ÉÖÊÁÏÒÔÆä¸ßÓ²¶ÈºÍÄÍÄ¥ÐÔÖø³Æ£¬È«ÌÕ´ÉÍ¿²¼Ä£Í·µÄʹÓÿÉÒÔÏÔÖøÌá¸ßģͷµÄʹÓÃÊÙÃü£¬ïÔÌÌæ»»ÆµÂÊ£¬´Ó¶ø½µµÍά»¤±¾Ç®¡£
£¨2£©ÓÅÒìµÄÄÍÇÖÊ´ÐÔ£ºÌմɾßÓÐÓÅÒìµÄ»¯Ñ§ÎȹÌÐÔ£¬¹ØÓÚÖÖÖÖ»¯Ñ§ÇÖÊ´½éÖʾßÓкܸߵĶԿ¹ÄÜÁ¦£¬ÊÊÊÊÓÃÓÚÍ¿²¼¾ßÓÐÇÖÊ´ÐÔµÄµç³ØÖÊÁÏ¡£
£¨3£©ÌÕ´ÉÍâòƽ»¬£¬²»Ò×Õ³¸½Í¿²¼ÖÊÁÏ£¬ÓÐÖúÓÚïÔÌÍ¿²¼Àú³ÌÖеÄÖÊÁÏÏûºÄ£¬²¢ÇÒÇå½àά»¤¸üΪÀû±ã¡£
£¨4£©¸ß¾«¶ÈÍ¿²¼£ºÌÕ´ÉÖÊÁϵĸ߾«¶È¼Ó¹¤ÊÖÒÕÏ൱³ÉÊ죬¿ÉÒÔÖÆÔì³ö¾«¶È¼«¸ßµÄÍ¿²¼Ä£Í·£¬ÓÐÖúÓÚÌáÉýÍ¿²¼ÖÊÁ¿ºÍÒ»ÖÂÐÔ¡£
£¨5£©Êг¡Ó¦ÓÃÍØÕ¹£º³ýÁËÔÚï®Àë×Óµç³ØÐÐÒµÖÐÓ¦Óã¬È«ÌÕ´ÉÍ¿²¼Ä£Í·µÄÓÅÁ¼ÌØÕ÷ҲʹÆäÓÐDZÁ¦ÍØÕ¹µ½ÆäËûÍ¿²¼ÁìÓò£¬ÈçȼÁÏµç³Ø¡¢°ëµ¼Ìå¡¢¹â·üµÈ¡£
×ðÁú¿Ê±ÏÈÈÝ£¬ÌÕ´ÉģͷºÍ½ðÊôģͷʹÓñÈÕÕ£¬ÔÚʹÓÃÕý¼«ÈýÔªÖÊÁÏͬÑùÍ¿²¼¹¤ÒÕÏ£¬½ðÊôģͷʹÓÃÊÙÃüÔÚ300ÍòÃ××óÓÒ£¬Ìմɵִï900ÍòÃ×ÒÔÉÏ£¬±ÈÕÕ½ðÊôģͷ£¬ÌÕ´Éģͷ¸ßÄÍÄ¥·½Ãæ¾ßÓÐÏÔÖøÓÅÊÆ¡£

ͼ4 ×ðÁú¿Ê±È«ÌÕ´ÉÈ«×Ô¶¯Ä£Í·¸ß¾«¶È
ͨ¹ý½ðÊô630ÖÊÁϺÍÌÕ´ÉÖÊÁϸÉĥĥËðÊý¾Ý±ÈÕÕ£¬ÌÕ´ÉÖÊÁÏÄ¥ËðΪ0.001£¬½ðÊôµÄÄ¥ËðµÖ´ï0.022£¬¿ÉÒÔ¿´³öÌÕ´ÉÄ¥ËðԶԶСÓÚ½ðÊôÖÊÁÏÄ¥Ëð£¬ÌÕ´ÉÄ¥ËðÐÔÄÜÓÅÓÚ½ðÊô20±¶ÒÔÉÏ¡£
Ó²¶È·½Ã棬ͨ¹ýÓ²¶È¼ì²â£¬ÌÕ´ÉÓ²¶È¸ßÓÚ½ðÊô2±¶ÒÔÉÏ¡£
ÄÍÇÖÊ´·½Ã棬½ðÊôºÍÌÕ´ÉÔÚͬÑù¹¤¿öϵ绯ѧÇÖÊ´²âÊÔ£¬½ðÊôÓÐÏÔ×ŵãÇÖÊ´£¬ÌÕ´ÉûÓзºÆðÇÖÊ´Õ÷Ïó¡£
ÐÎ±ä·½Ãæ£¬ÌÕ´ÉÖÊÁϵ¯ÐÔÄ£Á¿¸ßÓÚ½ðÊôÖÊÁÏ£¬ÏàͬÌõ¼þÏÂÌÕ´ÉģͷÊÜÁ¦±äÐÎСÓÚ½ðÊôģͷ±äÐΡ£
¿¹¹¥»÷·½Ã棬ÔÚÏàͬ¹¤¿öÏÂʵÑ飬½ðÊôÊÜÅöײ±äÐÎÔ¶´óÓÚÌÕ´É£¬ÌÕ´É¿¹¹¥»÷ÐÔÄÜÁ¦¸ßÓÚ½ðÊô¡£
ÒÔÉÏÏÈÈÝÁËÌÕ´ÉģͷȫÌÕ´ÉÖÊÁÏ¡¢¸ßÄÍÄ¥¡¢¸ßÓ²¶È¡¢ÄÍÇÖÊ´¡¢¿¹±äÐΡ¢¿¹¹¥»÷µÈÁÁµã¡£Õë¶ÔÐÐÒµµÄÐèÇó£¬ËûÃÇÓÅÏÈÍÆ³öÁË4¸öϵÁÐÈ«ÌÕ´ÉÍ¿²¼Ä£Í·²úÆ·£¬È«ÌÕ´ÉÊÖ¶¯Ç§·Ö³ßµ÷ÀíϵÁÐģͷ¡¢È«Ìմɵ綯ִÐлú¹¹±Õ»·µ÷ÀíϵÁÐģͷ£¬È«ÌÕ´ÉË«²ãÉÏϲãÊÖ¶¯Ç§·Ö³ßµ÷ÀíϵÁÐģͷ¡¢È«ÌÕ´ÉË«²ãÉÏϲãµç¶¯Ö´Ðлú¹¹µ÷ÀíϵÁÐģͷ£¬¿ÉÒÔÆ¥ÅäÍ¿²¼»ú×°ÖÃʹÓã¬Ä£Í·³¤¶È2Ã×ÒÔϾù¿ÉÉú²ú¡£

ͼ5 ×ðÁú¿Ê±È«ÌÕ´ÉÍ¿²¼Ä£Í·ÏµÁвúÆ·
³ý´ËÖ®Í⣬×ðÁú¿Ê±ÌÕ´ÉÖÊÁÏÔÚÐÂÄÜÔ´ÐÐÒµÉÐÓÐÐí¶àÓ¦Ó㬰üÀ¨ÌÕ´ÉË«Âݸˡ¢ÌÕ´ÉÊèÉ¢Ô¼þ¡¢ÌÕ´ÉÂþÑÜÔ¼þ¡¢Ìմɹܼþ¡¢Âݸ˱ÃÌմɳÄÌס¢ÌմɽÁ°è½¬µÈµÈ¡£
ÆÚÍûÈ«ÌÕ´ÉÍ¿²¼Ä£Í·×÷ΪһÖÖÐÂÐÍÖÊÁÏÑ¡Ôñ£¬Äܹ»ÎªÍ¿²¼ÊÖÒÕ´øÀ´ÏÔÖøÇ°½ø£¬²¢Íƶ¯ï®Àë×Óµç³ØµÈÏà¹ØÐÐÒµµÄÉú³¤¡£
ÆìÏ·Ö×Ó¹«Ë¾¹ÙÍø
ÖйúÇø
°²³ÏÄÜ¿ÆÍâÑóÇø
Å·ÖÞ×ðÁú¿Ê±